CTD Profiles (emap 2002)#

  • ctd_profiles_emap_2002

See the full dataset page for more information: CTD Profiles (emap 2002)

Map of CTD Profiles#

../../../../_images/map_of_ctd_profiles_emap_2002.png

10#

Sea Temperature [C]#

../../../../_images/ctd_profiles_emap_2002_10_temp.png ../../../../_images/ctd_profiles_emap_2002_10_temp1.png

Salinity#

../../../../_images/ctd_profiles_emap_2002_10_salt.png ../../../../_images/ctd_profiles_emap_2002_10_salt1.png

11#

Sea Temperature [C]#

../../../../_images/ctd_profiles_emap_2002_11_temp.png ../../../../_images/ctd_profiles_emap_2002_11_temp1.png

Salinity#

../../../../_images/ctd_profiles_emap_2002_11_salt.png ../../../../_images/ctd_profiles_emap_2002_11_salt1.png

12#

Sea Temperature [C]#

../../../../_images/ctd_profiles_emap_2002_12_temp.png ../../../../_images/ctd_profiles_emap_2002_12_temp1.png

Salinity#

../../../../_images/ctd_profiles_emap_2002_12_salt.png ../../../../_images/ctd_profiles_emap_2002_12_salt1.png

15#

Sea Temperature [C]#

../../../../_images/ctd_profiles_emap_2002_15_temp.png ../../../../_images/ctd_profiles_emap_2002_15_temp1.png

Salinity#

../../../../_images/ctd_profiles_emap_2002_15_salt.png ../../../../_images/ctd_profiles_emap_2002_15_salt1.png

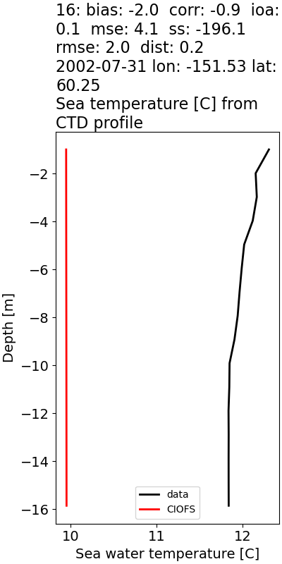
16#

Sea Temperature [C]#

../../../../_images/ctd_profiles_emap_2002_16_temp.png ../../../../_images/ctd_profiles_emap_2002_16_temp1.png

Salinity#

../../../../_images/ctd_profiles_emap_2002_16_salt.png ../../../../_images/ctd_profiles_emap_2002_16_salt1.png

17#

Sea Temperature [C]#

../../../../_images/ctd_profiles_emap_2002_17_temp.png ../../../../_images/ctd_profiles_emap_2002_17_temp1.png

Salinity#

../../../../_images/ctd_profiles_emap_2002_17_salt.png ../../../../_images/ctd_profiles_emap_2002_17_salt1.png

19#

Sea Temperature [C]#

../../../../_images/ctd_profiles_emap_2002_19_temp.png ../../../../_images/ctd_profiles_emap_2002_19_temp1.png

Salinity#

../../../../_images/ctd_profiles_emap_2002_19_salt.png ../../../../_images/ctd_profiles_emap_2002_19_salt1.png

2#

Sea Temperature [C]#

../../../../_images/ctd_profiles_emap_2002_2_temp.png ../../../../_images/ctd_profiles_emap_2002_2_temp1.png

Salinity#

../../../../_images/ctd_profiles_emap_2002_2_salt.png ../../../../_images/ctd_profiles_emap_2002_2_salt1.png

20#

Sea Temperature [C]#

../../../../_images/ctd_profiles_emap_2002_20_temp.png ../../../../_images/ctd_profiles_emap_2002_20_temp1.png

Salinity#

../../../../_images/ctd_profiles_emap_2002_20_salt.png ../../../../_images/ctd_profiles_emap_2002_20_salt1.png

21#

Sea Temperature [C]#

../../../../_images/ctd_profiles_emap_2002_21_temp.png ../../../../_images/ctd_profiles_emap_2002_21_temp1.png

Salinity#

../../../../_images/ctd_profiles_emap_2002_21_salt.png ../../../../_images/ctd_profiles_emap_2002_21_salt1.png

23#

Sea Temperature [C]#

../../../../_images/ctd_profiles_emap_2002_23_temp.png ../../../../_images/ctd_profiles_emap_2002_23_temp1.png

Salinity#

../../../../_images/ctd_profiles_emap_2002_23_salt.png ../../../../_images/ctd_profiles_emap_2002_23_salt1.png

24#

Sea Temperature [C]#

../../../../_images/ctd_profiles_emap_2002_24_temp.png ../../../../_images/ctd_profiles_emap_2002_24_temp1.png

Salinity#

../../../../_images/ctd_profiles_emap_2002_24_salt.png ../../../../_images/ctd_profiles_emap_2002_24_salt1.png

26#

Sea Temperature [C]#

../../../../_images/ctd_profiles_emap_2002_26_temp.png ../../../../_images/ctd_profiles_emap_2002_26_temp1.png

Salinity#

../../../../_images/ctd_profiles_emap_2002_26_salt.png ../../../../_images/ctd_profiles_emap_2002_26_salt1.png

27#

Sea Temperature [C]#

../../../../_images/ctd_profiles_emap_2002_27_temp.png ../../../../_images/ctd_profiles_emap_2002_27_temp1.png

Salinity#

../../../../_images/ctd_profiles_emap_2002_27_salt.png ../../../../_images/ctd_profiles_emap_2002_27_salt1.png

28#

Sea Temperature [C]#

../../../../_images/ctd_profiles_emap_2002_28_temp.png ../../../../_images/ctd_profiles_emap_2002_28_temp1.png

Salinity#

../../../../_images/ctd_profiles_emap_2002_28_salt.png ../../../../_images/ctd_profiles_emap_2002_28_salt1.png

29#

Sea Temperature [C]#

../../../../_images/ctd_profiles_emap_2002_29_temp.png ../../../../_images/ctd_profiles_emap_2002_29_temp1.png

Salinity#

../../../../_images/ctd_profiles_emap_2002_29_salt.png ../../../../_images/ctd_profiles_emap_2002_29_salt1.png

3#

Sea Temperature [C]#

../../../../_images/ctd_profiles_emap_2002_3_temp.png ../../../../_images/ctd_profiles_emap_2002_3_temp1.png

Salinity#

../../../../_images/ctd_profiles_emap_2002_3_salt.png ../../../../_images/ctd_profiles_emap_2002_3_salt1.png

30#

Sea Temperature [C]#

../../../../_images/ctd_profiles_emap_2002_30_temp.png ../../../../_images/ctd_profiles_emap_2002_30_temp1.png

Salinity#

../../../../_images/ctd_profiles_emap_2002_30_salt.png ../../../../_images/ctd_profiles_emap_2002_30_salt1.png

4#

Sea Temperature [C]#

../../../../_images/ctd_profiles_emap_2002_4_temp.png ../../../../_images/ctd_profiles_emap_2002_4_temp1.png

Salinity#

../../../../_images/ctd_profiles_emap_2002_4_salt.png ../../../../_images/ctd_profiles_emap_2002_4_salt1.png

5#

Sea Temperature [C]#

../../../../_images/ctd_profiles_emap_2002_5_temp.png ../../../../_images/ctd_profiles_emap_2002_5_temp1.png

Salinity#

../../../../_images/ctd_profiles_emap_2002_5_salt.png ../../../../_images/ctd_profiles_emap_2002_5_salt1.png

65#

Sea Temperature [C]#

../../../../_images/ctd_profiles_emap_2002_65_temp.png ../../../../_images/ctd_profiles_emap_2002_65_temp1.png

Salinity#

../../../../_images/ctd_profiles_emap_2002_65_salt.png ../../../../_images/ctd_profiles_emap_2002_65_salt1.png

67#

Sea Temperature [C]#

../../../../_images/ctd_profiles_emap_2002_67_temp.png ../../../../_images/ctd_profiles_emap_2002_67_temp1.png

Salinity#

../../../../_images/ctd_profiles_emap_2002_67_salt.png ../../../../_images/ctd_profiles_emap_2002_67_salt1.png

68#

Sea Temperature [C]#

../../../../_images/ctd_profiles_emap_2002_68_temp.png ../../../../_images/ctd_profiles_emap_2002_68_temp1.png

Salinity#

../../../../_images/ctd_profiles_emap_2002_68_salt.png ../../../../_images/ctd_profiles_emap_2002_68_salt1.png

7#

Sea Temperature [C]#

../../../../_images/ctd_profiles_emap_2002_7_temp.png ../../../../_images/ctd_profiles_emap_2002_7_temp1.png

Salinity#

../../../../_images/ctd_profiles_emap_2002_7_salt.png ../../../../_images/ctd_profiles_emap_2002_7_salt1.png

8#

Sea Temperature [C]#

../../../../_images/ctd_profiles_emap_2002_8_temp.png ../../../../_images/ctd_profiles_emap_2002_8_temp1.png

Salinity#

../../../../_images/ctd_profiles_emap_2002_8_salt.png ../../../../_images/ctd_profiles_emap_2002_8_salt1.png

9#

Sea Temperature [C]#

../../../../_images/ctd_profiles_emap_2002_9_temp.png ../../../../_images/ctd_profiles_emap_2002_9_temp1.png

Salinity#

../../../../_images/ctd_profiles_emap_2002_9_salt.png ../../../../_images/ctd_profiles_emap_2002_9_salt1.png