CTD Transect (CMI UAF): from East Foreland Lighthouse#

  • ctd_transects_cmi_uaf

See the full dataset page for more information: CTD Transect (CMI UAF): from East Foreland Lighthouse

Map of CTD Transects#

../../../../_images/map_of_ctd_transects_cmi_uaf.png

Fig. 41 Map of ctd_transects_cmi_uaf data locations#

Cruise-01#

Sea Temperature [C]#

CIOFS#

../../../../_images/ctd_transects_cmi_uaf_Cruise-01_temp.png

NWGOA#

../../../../_images/ctd_transects_cmi_uaf_Cruise-01_temp1.png

Salinity#

CIOFS#

../../../../_images/ctd_transects_cmi_uaf_Cruise-01_salt.png

NWGOA#

../../../../_images/ctd_transects_cmi_uaf_Cruise-01_salt1.png

Cruise-02#

Sea Temperature [C]#

CIOFS#

../../../../_images/ctd_transects_cmi_uaf_Cruise-02_temp.png

NWGOA#

../../../../_images/ctd_transects_cmi_uaf_Cruise-02_temp1.png

Salinity#

CIOFS#

../../../../_images/ctd_transects_cmi_uaf_Cruise-02_salt.png

NWGOA#

../../../../_images/ctd_transects_cmi_uaf_Cruise-02_salt1.png

Cruise-03#

Sea Temperature [C]#

CIOFS#

../../../../_images/ctd_transects_cmi_uaf_Cruise-03_temp.png

NWGOA#

../../../../_images/ctd_transects_cmi_uaf_Cruise-03_temp1.png

Salinity#

CIOFS#

../../../../_images/ctd_transects_cmi_uaf_Cruise-03_salt.png

NWGOA#

../../../../_images/ctd_transects_cmi_uaf_Cruise-03_salt1.png

Cruise-04#

Sea Temperature [C]#

CIOFS#

../../../../_images/ctd_transects_cmi_uaf_Cruise-04_temp.png

NWGOA#

../../../../_images/ctd_transects_cmi_uaf_Cruise-04_temp1.png

Salinity#

CIOFS#

../../../../_images/ctd_transects_cmi_uaf_Cruise-04_salt.png

NWGOA#

../../../../_images/ctd_transects_cmi_uaf_Cruise-04_salt1.png

Cruise-05#

Sea Temperature [C]#

CIOFS#

../../../../_images/ctd_transects_cmi_uaf_Cruise-05_temp.png

NWGOA#

../../../../_images/ctd_transects_cmi_uaf_Cruise-05_temp1.png

Salinity#

CIOFS#

../../../../_images/ctd_transects_cmi_uaf_Cruise-05_salt.png

NWGOA#

../../../../_images/ctd_transects_cmi_uaf_Cruise-05_salt1.png

Cruise-06#

Sea Temperature [C]#

CIOFS#

../../../../_images/ctd_transects_cmi_uaf_Cruise-06_temp.png

NWGOA#

../../../../_images/ctd_transects_cmi_uaf_Cruise-06_temp1.png

Salinity#

CIOFS#

../../../../_images/ctd_transects_cmi_uaf_Cruise-06_salt.png

NWGOA#

../../../../_images/ctd_transects_cmi_uaf_Cruise-06_salt1.png

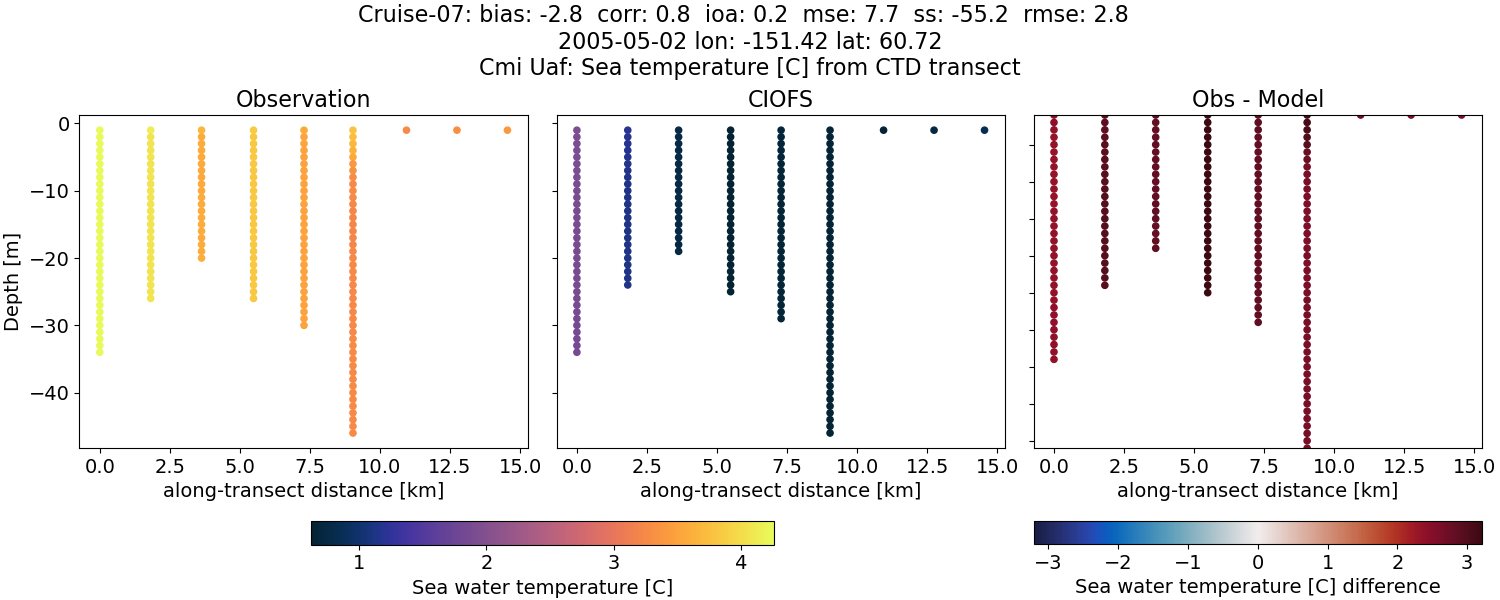
Cruise-07#

Sea Temperature [C]#

CIOFS#

../../../../_images/ctd_transects_cmi_uaf_Cruise-07_temp.png

NWGOA#

../../../../_images/ctd_transects_cmi_uaf_Cruise-07_temp1.png

Salinity#

CIOFS#

../../../../_images/ctd_transects_cmi_uaf_Cruise-07_salt.png

NWGOA#

../../../../_images/ctd_transects_cmi_uaf_Cruise-07_salt1.png

Cruise-08#

Sea Temperature [C]#

CIOFS#

../../../../_images/ctd_transects_cmi_uaf_Cruise-08_temp.png

NWGOA#

../../../../_images/ctd_transects_cmi_uaf_Cruise-08_temp1.png

Salinity#

CIOFS#

../../../../_images/ctd_transects_cmi_uaf_Cruise-08_salt.png

NWGOA#

../../../../_images/ctd_transects_cmi_uaf_Cruise-08_salt1.png

Cruise-09#

Sea Temperature [C]#

CIOFS#

../../../../_images/ctd_transects_cmi_uaf_Cruise-09_temp.png

NWGOA#

../../../../_images/ctd_transects_cmi_uaf_Cruise-09_temp1.png

Salinity#

CIOFS#

../../../../_images/ctd_transects_cmi_uaf_Cruise-09_salt.png

NWGOA#

../../../../_images/ctd_transects_cmi_uaf_Cruise-09_salt1.png

Cruise-10#

Sea Temperature [C]#

CIOFS#

../../../../_images/ctd_transects_cmi_uaf_Cruise-10_temp.png

NWGOA#

../../../../_images/ctd_transects_cmi_uaf_Cruise-10_temp1.png

Salinity#

CIOFS#

../../../../_images/ctd_transects_cmi_uaf_Cruise-10_salt.png

NWGOA#

../../../../_images/ctd_transects_cmi_uaf_Cruise-10_salt1.png