CTD Transects, Moored CTD (CMI KBNERR): Six repeat, one single transect, one moored CTD#

  • ctd_transects_cmi_kbnerr

See the full dataset page for more information: CTD Transects, Moored CTD (CMI KBNERR): Six repeat, one single transect, one moored CTD

Map of CTD Transects#

../../../../_images/map_of_ctd_transects_cmi_kbnerr.png

Fig. 40 Map of ctd_transects_cmi_kbnerr data locations#

Cruise_00-Line_4#

Sea Temperature [C]#

CIOFS#

../../../../_images/ctd_transects_cmi_kbnerr_Cruise_00-Line_4_temp.png

NWGOA#

../../../../_images/ctd_transects_cmi_kbnerr_Cruise_00-Line_4_temp1.png

Salinity#

CIOFS#

../../../../_images/ctd_transects_cmi_kbnerr_Cruise_00-Line_4_salt.png

NWGOA#

../../../../_images/ctd_transects_cmi_kbnerr_Cruise_00-Line_4_salt1.png

Cruise_01-Line_1#

Sea Temperature [C]#

CIOFS#

../../../../_images/ctd_transects_cmi_kbnerr_Cruise_01-Line_1_temp.png

NWGOA#

../../../../_images/ctd_transects_cmi_kbnerr_Cruise_01-Line_1_temp1.png

Salinity#

CIOFS#

../../../../_images/ctd_transects_cmi_kbnerr_Cruise_01-Line_1_salt.png

NWGOA#

../../../../_images/ctd_transects_cmi_kbnerr_Cruise_01-Line_1_salt1.png

Cruise_01-Line_2#

Sea Temperature [C]#

CIOFS#

../../../../_images/ctd_transects_cmi_kbnerr_Cruise_01-Line_2_temp.png

NWGOA#

../../../../_images/ctd_transects_cmi_kbnerr_Cruise_01-Line_2_temp1.png

Salinity#

CIOFS#

../../../../_images/ctd_transects_cmi_kbnerr_Cruise_01-Line_2_salt.png

NWGOA#

../../../../_images/ctd_transects_cmi_kbnerr_Cruise_01-Line_2_salt1.png

Cruise_01-Line_3#

Sea Temperature [C]#

CIOFS#

../../../../_images/ctd_transects_cmi_kbnerr_Cruise_01-Line_3_temp.png

NWGOA#

../../../../_images/ctd_transects_cmi_kbnerr_Cruise_01-Line_3_temp1.png

Salinity#

CIOFS#

../../../../_images/ctd_transects_cmi_kbnerr_Cruise_01-Line_3_salt.png

NWGOA#

../../../../_images/ctd_transects_cmi_kbnerr_Cruise_01-Line_3_salt1.png

Cruise_01-Line_4#

Sea Temperature [C]#

CIOFS#

../../../../_images/ctd_transects_cmi_kbnerr_Cruise_01-Line_4_temp.png

NWGOA#

../../../../_images/ctd_transects_cmi_kbnerr_Cruise_01-Line_4_temp1.png

Salinity#

CIOFS#

../../../../_images/ctd_transects_cmi_kbnerr_Cruise_01-Line_4_salt.png

NWGOA#

../../../../_images/ctd_transects_cmi_kbnerr_Cruise_01-Line_4_salt1.png

Cruise_02-Line_1#

Sea Temperature [C]#

CIOFS#

../../../../_images/ctd_transects_cmi_kbnerr_Cruise_02-Line_1_temp.png

NWGOA#

../../../../_images/ctd_transects_cmi_kbnerr_Cruise_02-Line_1_temp1.png

Salinity#

CIOFS#

../../../../_images/ctd_transects_cmi_kbnerr_Cruise_02-Line_1_salt.png

NWGOA#

../../../../_images/ctd_transects_cmi_kbnerr_Cruise_02-Line_1_salt1.png

Cruise_02-Line_2#

Sea Temperature [C]#

CIOFS#

../../../../_images/ctd_transects_cmi_kbnerr_Cruise_02-Line_2_temp.png

NWGOA#

../../../../_images/ctd_transects_cmi_kbnerr_Cruise_02-Line_2_temp1.png

Salinity#

CIOFS#

../../../../_images/ctd_transects_cmi_kbnerr_Cruise_02-Line_2_salt.png

NWGOA#

../../../../_images/ctd_transects_cmi_kbnerr_Cruise_02-Line_2_salt1.png

Cruise_02-Line_3#

Sea Temperature [C]#

CIOFS#

../../../../_images/ctd_transects_cmi_kbnerr_Cruise_02-Line_3_temp.png

NWGOA#

../../../../_images/ctd_transects_cmi_kbnerr_Cruise_02-Line_3_temp1.png

Salinity#

CIOFS#

../../../../_images/ctd_transects_cmi_kbnerr_Cruise_02-Line_3_salt.png

NWGOA#

../../../../_images/ctd_transects_cmi_kbnerr_Cruise_02-Line_3_salt1.png

Cruise_02-Line_4#

Sea Temperature [C]#

CIOFS#

../../../../_images/ctd_transects_cmi_kbnerr_Cruise_02-Line_4_temp.png

NWGOA#

../../../../_images/ctd_transects_cmi_kbnerr_Cruise_02-Line_4_temp1.png

Salinity#

CIOFS#

../../../../_images/ctd_transects_cmi_kbnerr_Cruise_02-Line_4_salt.png

NWGOA#

../../../../_images/ctd_transects_cmi_kbnerr_Cruise_02-Line_4_salt1.png

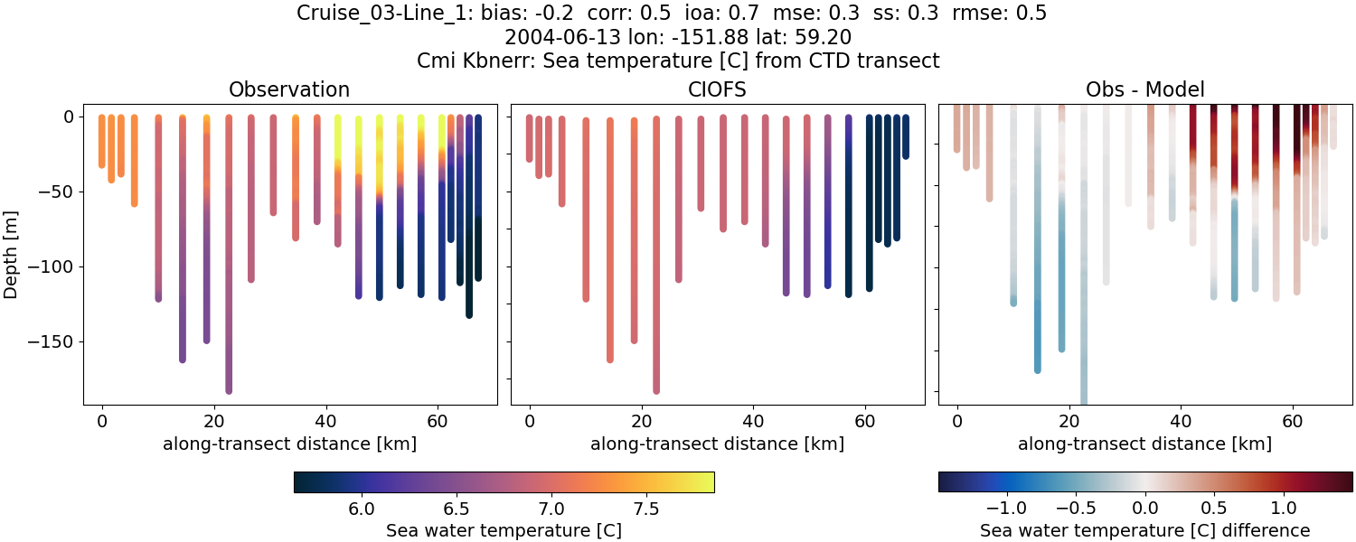
Cruise_03-Line_1#

Sea Temperature [C]#

CIOFS#

../../../../_images/ctd_transects_cmi_kbnerr_Cruise_03-Line_1_temp.png

NWGOA#

../../../../_images/ctd_transects_cmi_kbnerr_Cruise_03-Line_1_temp1.png

Salinity#

CIOFS#

../../../../_images/ctd_transects_cmi_kbnerr_Cruise_03-Line_1_salt.png

NWGOA#

../../../../_images/ctd_transects_cmi_kbnerr_Cruise_03-Line_1_salt1.png

Cruise_03-Line_2#

Sea Temperature [C]#

CIOFS#

../../../../_images/ctd_transects_cmi_kbnerr_Cruise_03-Line_2_temp.png

NWGOA#

../../../../_images/ctd_transects_cmi_kbnerr_Cruise_03-Line_2_temp1.png

Salinity#

CIOFS#

../../../../_images/ctd_transects_cmi_kbnerr_Cruise_03-Line_2_salt.png

NWGOA#

../../../../_images/ctd_transects_cmi_kbnerr_Cruise_03-Line_2_salt1.png

Cruise_03-Line_3#

Sea Temperature [C]#

CIOFS#

../../../../_images/ctd_transects_cmi_kbnerr_Cruise_03-Line_3_temp.png

NWGOA#

../../../../_images/ctd_transects_cmi_kbnerr_Cruise_03-Line_3_temp1.png

Salinity#

CIOFS#

../../../../_images/ctd_transects_cmi_kbnerr_Cruise_03-Line_3_salt.png

NWGOA#

../../../../_images/ctd_transects_cmi_kbnerr_Cruise_03-Line_3_salt1.png

Cruise_03-Line_4#

Sea Temperature [C]#

CIOFS#

../../../../_images/ctd_transects_cmi_kbnerr_Cruise_03-Line_4_temp.png

NWGOA#

../../../../_images/ctd_transects_cmi_kbnerr_Cruise_03-Line_4_temp1.png

Salinity#

CIOFS#

../../../../_images/ctd_transects_cmi_kbnerr_Cruise_03-Line_4_salt.png

NWGOA#

../../../../_images/ctd_transects_cmi_kbnerr_Cruise_03-Line_4_salt1.png

Cruise_05-Line_1#

Sea Temperature [C]#

CIOFS#

../../../../_images/ctd_transects_cmi_kbnerr_Cruise_05-Line_1_temp.png

NWGOA#

../../../../_images/ctd_transects_cmi_kbnerr_Cruise_05-Line_1_temp1.png

Salinity#

CIOFS#

../../../../_images/ctd_transects_cmi_kbnerr_Cruise_05-Line_1_salt.png

NWGOA#

../../../../_images/ctd_transects_cmi_kbnerr_Cruise_05-Line_1_salt1.png

Cruise_05-Line_2#

Sea Temperature [C]#

CIOFS#

../../../../_images/ctd_transects_cmi_kbnerr_Cruise_05-Line_2_temp.png

NWGOA#

../../../../_images/ctd_transects_cmi_kbnerr_Cruise_05-Line_2_temp1.png

Salinity#

CIOFS#

../../../../_images/ctd_transects_cmi_kbnerr_Cruise_05-Line_2_salt.png

NWGOA#

../../../../_images/ctd_transects_cmi_kbnerr_Cruise_05-Line_2_salt1.png

Cruise_05-Line_3#

Sea Temperature [C]#

CIOFS#

../../../../_images/ctd_transects_cmi_kbnerr_Cruise_05-Line_3_temp.png

NWGOA#

../../../../_images/ctd_transects_cmi_kbnerr_Cruise_05-Line_3_temp1.png

Salinity#

CIOFS#

../../../../_images/ctd_transects_cmi_kbnerr_Cruise_05-Line_3_salt.png

NWGOA#

../../../../_images/ctd_transects_cmi_kbnerr_Cruise_05-Line_3_salt1.png

Cruise_05-Line_4#

Sea Temperature [C]#

CIOFS#

../../../../_images/ctd_transects_cmi_kbnerr_Cruise_05-Line_4_temp.png

NWGOA#

../../../../_images/ctd_transects_cmi_kbnerr_Cruise_05-Line_4_temp1.png

Salinity#

CIOFS#

../../../../_images/ctd_transects_cmi_kbnerr_Cruise_05-Line_4_salt.png

NWGOA#

../../../../_images/ctd_transects_cmi_kbnerr_Cruise_05-Line_4_salt1.png

Cruise_06-Line_1#

Sea Temperature [C]#

CIOFS#

../../../../_images/ctd_transects_cmi_kbnerr_Cruise_06-Line_1_temp.png

NWGOA#

../../../../_images/ctd_transects_cmi_kbnerr_Cruise_06-Line_1_temp1.png

Salinity#

CIOFS#

../../../../_images/ctd_transects_cmi_kbnerr_Cruise_06-Line_1_salt.png

NWGOA#

../../../../_images/ctd_transects_cmi_kbnerr_Cruise_06-Line_1_salt1.png

Cruise_06-Line_2#

Sea Temperature [C]#

CIOFS#

../../../../_images/ctd_transects_cmi_kbnerr_Cruise_06-Line_2_temp.png

NWGOA#

../../../../_images/ctd_transects_cmi_kbnerr_Cruise_06-Line_2_temp1.png

Salinity#

CIOFS#

../../../../_images/ctd_transects_cmi_kbnerr_Cruise_06-Line_2_salt.png

NWGOA#

../../../../_images/ctd_transects_cmi_kbnerr_Cruise_06-Line_2_salt1.png

Cruise_06-Line_3#

Sea Temperature [C]#

CIOFS#

../../../../_images/ctd_transects_cmi_kbnerr_Cruise_06-Line_3_temp.png

NWGOA#

../../../../_images/ctd_transects_cmi_kbnerr_Cruise_06-Line_3_temp1.png

Salinity#

CIOFS#

../../../../_images/ctd_transects_cmi_kbnerr_Cruise_06-Line_3_salt.png

NWGOA#

../../../../_images/ctd_transects_cmi_kbnerr_Cruise_06-Line_3_salt1.png

Cruise_06-Line_4#

Sea Temperature [C]#

CIOFS#

../../../../_images/ctd_transects_cmi_kbnerr_Cruise_06-Line_4_temp.png

NWGOA#

../../../../_images/ctd_transects_cmi_kbnerr_Cruise_06-Line_4_temp1.png

Salinity#

CIOFS#

../../../../_images/ctd_transects_cmi_kbnerr_Cruise_06-Line_4_salt.png

NWGOA#

../../../../_images/ctd_transects_cmi_kbnerr_Cruise_06-Line_4_salt1.png

Cruise_07-Line_1#

Sea Temperature [C]#

CIOFS#

../../../../_images/ctd_transects_cmi_kbnerr_Cruise_07-Line_1_temp.png

NWGOA#

../../../../_images/ctd_transects_cmi_kbnerr_Cruise_07-Line_1_temp1.png

Salinity#

CIOFS#

../../../../_images/ctd_transects_cmi_kbnerr_Cruise_07-Line_1_salt.png

NWGOA#

../../../../_images/ctd_transects_cmi_kbnerr_Cruise_07-Line_1_salt1.png

Cruise_07-Line_2#

Sea Temperature [C]#

CIOFS#

../../../../_images/ctd_transects_cmi_kbnerr_Cruise_07-Line_2_temp.png

NWGOA#

../../../../_images/ctd_transects_cmi_kbnerr_Cruise_07-Line_2_temp1.png

Salinity#

CIOFS#

../../../../_images/ctd_transects_cmi_kbnerr_Cruise_07-Line_2_salt.png

NWGOA#

../../../../_images/ctd_transects_cmi_kbnerr_Cruise_07-Line_2_salt1.png

Cruise_07-Line_3#

Sea Temperature [C]#

CIOFS#

../../../../_images/ctd_transects_cmi_kbnerr_Cruise_07-Line_3_temp.png

NWGOA#

../../../../_images/ctd_transects_cmi_kbnerr_Cruise_07-Line_3_temp1.png

Salinity#

CIOFS#

../../../../_images/ctd_transects_cmi_kbnerr_Cruise_07-Line_3_salt.png

NWGOA#

../../../../_images/ctd_transects_cmi_kbnerr_Cruise_07-Line_3_salt1.png

Cruise_07-Line_4#

Sea Temperature [C]#

CIOFS#

../../../../_images/ctd_transects_cmi_kbnerr_Cruise_07-Line_4_temp.png

NWGOA#

../../../../_images/ctd_transects_cmi_kbnerr_Cruise_07-Line_4_temp1.png

Salinity#

CIOFS#

../../../../_images/ctd_transects_cmi_kbnerr_Cruise_07-Line_4_salt.png

NWGOA#

../../../../_images/ctd_transects_cmi_kbnerr_Cruise_07-Line_4_salt1.png

Cruise_08-Line_1#

Sea Temperature [C]#

CIOFS#

../../../../_images/ctd_transects_cmi_kbnerr_Cruise_08-Line_1_temp.png

NWGOA#

../../../../_images/ctd_transects_cmi_kbnerr_Cruise_08-Line_1_temp1.png

Salinity#

CIOFS#

../../../../_images/ctd_transects_cmi_kbnerr_Cruise_08-Line_1_salt.png

NWGOA#

../../../../_images/ctd_transects_cmi_kbnerr_Cruise_08-Line_1_salt1.png

Cruise_08-Line_2#

Sea Temperature [C]#

CIOFS#

../../../../_images/ctd_transects_cmi_kbnerr_Cruise_08-Line_2_temp.png

NWGOA#

../../../../_images/ctd_transects_cmi_kbnerr_Cruise_08-Line_2_temp1.png

Salinity#

CIOFS#

../../../../_images/ctd_transects_cmi_kbnerr_Cruise_08-Line_2_salt.png

NWGOA#

../../../../_images/ctd_transects_cmi_kbnerr_Cruise_08-Line_2_salt1.png

Cruise_08-Line_3#

Sea Temperature [C]#

CIOFS#

../../../../_images/ctd_transects_cmi_kbnerr_Cruise_08-Line_3_temp.png

NWGOA#

../../../../_images/ctd_transects_cmi_kbnerr_Cruise_08-Line_3_temp1.png

Salinity#

CIOFS#

../../../../_images/ctd_transects_cmi_kbnerr_Cruise_08-Line_3_salt.png

NWGOA#

../../../../_images/ctd_transects_cmi_kbnerr_Cruise_08-Line_3_salt1.png

Cruise_08-Line_4#

Sea Temperature [C]#

CIOFS#

../../../../_images/ctd_transects_cmi_kbnerr_Cruise_08-Line_4_temp.png

NWGOA#

../../../../_images/ctd_transects_cmi_kbnerr_Cruise_08-Line_4_temp1.png

Salinity#

CIOFS#

../../../../_images/ctd_transects_cmi_kbnerr_Cruise_08-Line_4_salt.png

NWGOA#

../../../../_images/ctd_transects_cmi_kbnerr_Cruise_08-Line_4_salt1.png

Cruise_09-Line_1#

Sea Temperature [C]#

CIOFS#

../../../../_images/ctd_transects_cmi_kbnerr_Cruise_09-Line_1_temp.png

NWGOA#

../../../../_images/ctd_transects_cmi_kbnerr_Cruise_09-Line_1_temp1.png

Salinity#

CIOFS#

../../../../_images/ctd_transects_cmi_kbnerr_Cruise_09-Line_1_salt.png

NWGOA#

../../../../_images/ctd_transects_cmi_kbnerr_Cruise_09-Line_1_salt1.png

Cruise_09-Line_2#

Sea Temperature [C]#

CIOFS#

../../../../_images/ctd_transects_cmi_kbnerr_Cruise_09-Line_2_temp.png

NWGOA#

../../../../_images/ctd_transects_cmi_kbnerr_Cruise_09-Line_2_temp1.png

Salinity#

CIOFS#

../../../../_images/ctd_transects_cmi_kbnerr_Cruise_09-Line_2_salt.png

NWGOA#

../../../../_images/ctd_transects_cmi_kbnerr_Cruise_09-Line_2_salt1.png

Cruise_09-Line_3#

Sea Temperature [C]#

CIOFS#

../../../../_images/ctd_transects_cmi_kbnerr_Cruise_09-Line_3_temp.png

NWGOA#

../../../../_images/ctd_transects_cmi_kbnerr_Cruise_09-Line_3_temp1.png

Salinity#

CIOFS#

../../../../_images/ctd_transects_cmi_kbnerr_Cruise_09-Line_3_salt.png

NWGOA#

../../../../_images/ctd_transects_cmi_kbnerr_Cruise_09-Line_3_salt1.png

Cruise_09-Line_4#

Sea Temperature [C]#

CIOFS#

../../../../_images/ctd_transects_cmi_kbnerr_Cruise_09-Line_4_temp.png

NWGOA#

../../../../_images/ctd_transects_cmi_kbnerr_Cruise_09-Line_4_temp1.png

Salinity#

CIOFS#

../../../../_images/ctd_transects_cmi_kbnerr_Cruise_09-Line_4_salt.png

NWGOA#

../../../../_images/ctd_transects_cmi_kbnerr_Cruise_09-Line_4_salt1.png

Cruise_10-Line_1#

Sea Temperature [C]#

CIOFS#

../../../../_images/ctd_transects_cmi_kbnerr_Cruise_10-Line_1_temp.png

NWGOA#

../../../../_images/ctd_transects_cmi_kbnerr_Cruise_10-Line_1_temp1.png

Salinity#

CIOFS#

../../../../_images/ctd_transects_cmi_kbnerr_Cruise_10-Line_1_salt.png

NWGOA#

../../../../_images/ctd_transects_cmi_kbnerr_Cruise_10-Line_1_salt1.png

Cruise_10-Line_2#

Sea Temperature [C]#

CIOFS#

../../../../_images/ctd_transects_cmi_kbnerr_Cruise_10-Line_2_temp.png

NWGOA#

../../../../_images/ctd_transects_cmi_kbnerr_Cruise_10-Line_2_temp1.png

Salinity#

CIOFS#

../../../../_images/ctd_transects_cmi_kbnerr_Cruise_10-Line_2_salt.png

NWGOA#

../../../../_images/ctd_transects_cmi_kbnerr_Cruise_10-Line_2_salt1.png

Cruise_10-Line_3#

Sea Temperature [C]#

CIOFS#

../../../../_images/ctd_transects_cmi_kbnerr_Cruise_10-Line_3_temp.png

NWGOA#

../../../../_images/ctd_transects_cmi_kbnerr_Cruise_10-Line_3_temp1.png

Salinity#

CIOFS#

../../../../_images/ctd_transects_cmi_kbnerr_Cruise_10-Line_3_salt.png

NWGOA#

../../../../_images/ctd_transects_cmi_kbnerr_Cruise_10-Line_3_salt1.png

Cruise_10-Line_4#

Sea Temperature [C]#

CIOFS#

../../../../_images/ctd_transects_cmi_kbnerr_Cruise_10-Line_4_temp.png

NWGOA#

../../../../_images/ctd_transects_cmi_kbnerr_Cruise_10-Line_4_temp1.png

Salinity#

CIOFS#

../../../../_images/ctd_transects_cmi_kbnerr_Cruise_10-Line_4_salt.png

NWGOA#

../../../../_images/ctd_transects_cmi_kbnerr_Cruise_10-Line_4_salt1.png

Cruise_11-Line_1#

Sea Temperature [C]#

CIOFS#

../../../../_images/ctd_transects_cmi_kbnerr_Cruise_11-Line_1_temp.png

NWGOA#

../../../../_images/ctd_transects_cmi_kbnerr_Cruise_11-Line_1_temp1.png

Salinity#

CIOFS#

../../../../_images/ctd_transects_cmi_kbnerr_Cruise_11-Line_1_salt.png

NWGOA#

../../../../_images/ctd_transects_cmi_kbnerr_Cruise_11-Line_1_salt1.png

Cruise_11-Line_2#

Sea Temperature [C]#

CIOFS#

../../../../_images/ctd_transects_cmi_kbnerr_Cruise_11-Line_2_temp.png

NWGOA#

../../../../_images/ctd_transects_cmi_kbnerr_Cruise_11-Line_2_temp1.png

Salinity#

CIOFS#

../../../../_images/ctd_transects_cmi_kbnerr_Cruise_11-Line_2_salt.png

NWGOA#

../../../../_images/ctd_transects_cmi_kbnerr_Cruise_11-Line_2_salt1.png

Cruise_11-Line_3#

Sea Temperature [C]#

CIOFS#

../../../../_images/ctd_transects_cmi_kbnerr_Cruise_11-Line_3_temp.png

NWGOA#

../../../../_images/ctd_transects_cmi_kbnerr_Cruise_11-Line_3_temp1.png

Salinity#

CIOFS#

../../../../_images/ctd_transects_cmi_kbnerr_Cruise_11-Line_3_salt.png

NWGOA#

../../../../_images/ctd_transects_cmi_kbnerr_Cruise_11-Line_3_salt1.png

Cruise_11-Line_4#

Sea Temperature [C]#

CIOFS#

../../../../_images/ctd_transects_cmi_kbnerr_Cruise_11-Line_4_temp.png

NWGOA#

../../../../_images/ctd_transects_cmi_kbnerr_Cruise_11-Line_4_temp1.png

Salinity#

CIOFS#

../../../../_images/ctd_transects_cmi_kbnerr_Cruise_11-Line_4_salt.png

NWGOA#

../../../../_images/ctd_transects_cmi_kbnerr_Cruise_11-Line_4_salt1.png

Cruise_12-Line_1#

Sea Temperature [C]#

CIOFS#

../../../../_images/ctd_transects_cmi_kbnerr_Cruise_12-Line_1_temp2.png

NWGOA#

../../../../_images/ctd_transects_cmi_kbnerr_Cruise_12-Line_1_temp3.png

Salinity#

CIOFS#

../../../../_images/ctd_transects_cmi_kbnerr_Cruise_12-Line_1_salt.png

NWGOA#

../../../../_images/ctd_transects_cmi_kbnerr_Cruise_12-Line_1_salt1.png

Cruise_12-Line_2#

Sea Temperature [C]#

CIOFS#

../../../../_images/ctd_transects_cmi_kbnerr_Cruise_12-Line_2_temp.png

NWGOA#

../../../../_images/ctd_transects_cmi_kbnerr_Cruise_12-Line_2_temp1.png

Salinity#

CIOFS#

../../../../_images/ctd_transects_cmi_kbnerr_Cruise_12-Line_2_salt.png

NWGOA#

../../../../_images/ctd_transects_cmi_kbnerr_Cruise_12-Line_2_salt1.png

Cruise_12-Line_3#

Sea Temperature [C]#

CIOFS#

../../../../_images/ctd_transects_cmi_kbnerr_Cruise_12-Line_3_temp.png

NWGOA#

../../../../_images/ctd_transects_cmi_kbnerr_Cruise_12-Line_3_temp1.png

Salinity#

CIOFS#

../../../../_images/ctd_transects_cmi_kbnerr_Cruise_12-Line_3_salt.png

NWGOA#

../../../../_images/ctd_transects_cmi_kbnerr_Cruise_12-Line_3_salt1.png

Cruise_12-Line_4#

Sea Temperature [C]#

CIOFS#

../../../../_images/ctd_transects_cmi_kbnerr_Cruise_12-Line_4_temp.png

NWGOA#

../../../../_images/ctd_transects_cmi_kbnerr_Cruise_12-Line_4_temp1.png

Salinity#

CIOFS#

../../../../_images/ctd_transects_cmi_kbnerr_Cruise_12-Line_4_salt.png

NWGOA#

../../../../_images/ctd_transects_cmi_kbnerr_Cruise_12-Line_4_salt1.png

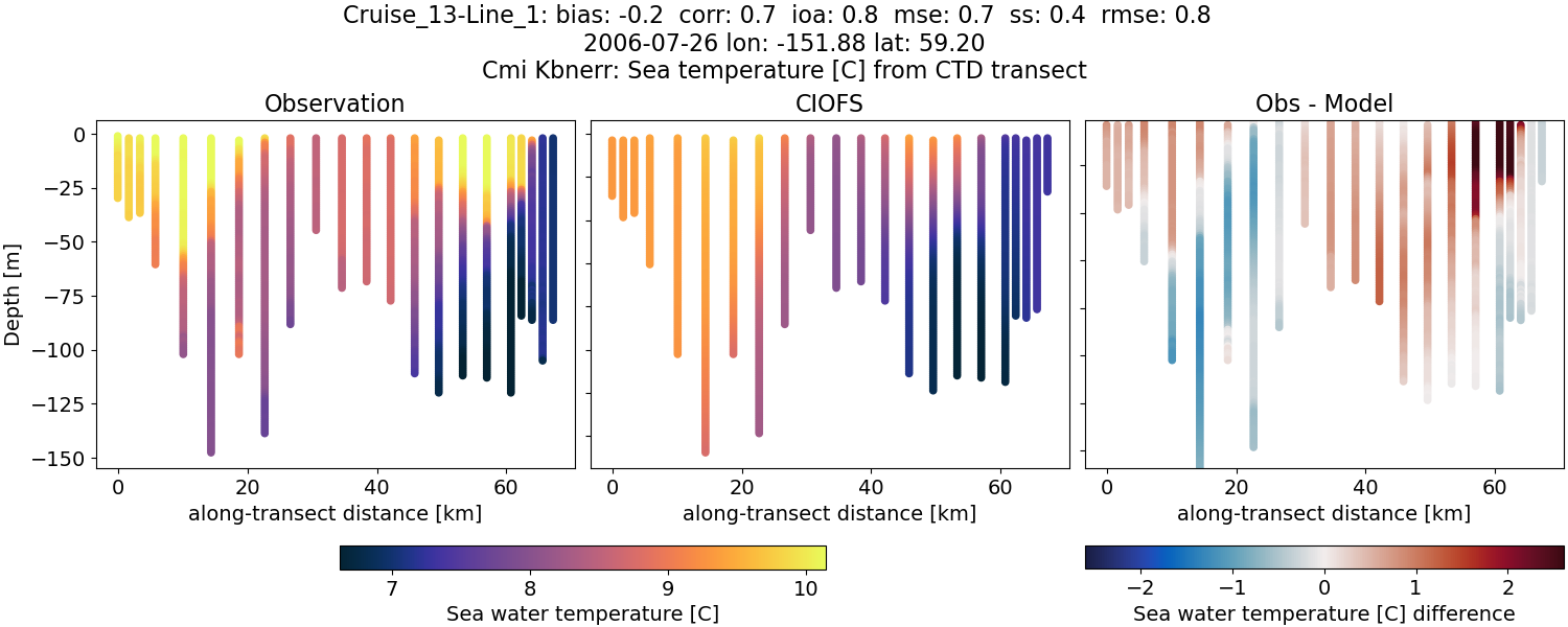
Cruise_13-Line_1#

Sea Temperature [C]#

CIOFS#

../../../../_images/ctd_transects_cmi_kbnerr_Cruise_13-Line_1_temp.png

NWGOA#

../../../../_images/ctd_transects_cmi_kbnerr_Cruise_13-Line_1_temp1.png

Salinity#

CIOFS#

../../../../_images/ctd_transects_cmi_kbnerr_Cruise_13-Line_1_salt.png

NWGOA#

../../../../_images/ctd_transects_cmi_kbnerr_Cruise_13-Line_1_salt1.png

Cruise_13-Line_3#

Sea Temperature [C]#

CIOFS#

../../../../_images/ctd_transects_cmi_kbnerr_Cruise_13-Line_3_temp.png

NWGOA#

../../../../_images/ctd_transects_cmi_kbnerr_Cruise_13-Line_3_temp1.png

Salinity#

CIOFS#

../../../../_images/ctd_transects_cmi_kbnerr_Cruise_13-Line_3_salt.png

NWGOA#

../../../../_images/ctd_transects_cmi_kbnerr_Cruise_13-Line_3_salt1.png

Cruise_13-Line_4#

Sea Temperature [C]#

CIOFS#

../../../../_images/ctd_transects_cmi_kbnerr_Cruise_13-Line_4_temp.png

NWGOA#

../../../../_images/ctd_transects_cmi_kbnerr_Cruise_13-Line_4_temp1.png

Salinity#

CIOFS#

../../../../_images/ctd_transects_cmi_kbnerr_Cruise_13-Line_4_salt.png

NWGOA#

../../../../_images/ctd_transects_cmi_kbnerr_Cruise_13-Line_4_salt1.png

Cruise_13-Line_6#

Sea Temperature [C]#

CIOFS#

../../../../_images/ctd_transects_cmi_kbnerr_Cruise_13-Line_6_temp.png

NWGOA#

../../../../_images/ctd_transects_cmi_kbnerr_Cruise_13-Line_6_temp1.png

Salinity#

CIOFS#

../../../../_images/ctd_transects_cmi_kbnerr_Cruise_13-Line_6_salt.png

NWGOA#

../../../../_images/ctd_transects_cmi_kbnerr_Cruise_13-Line_6_salt1.png

Cruise_13-Line_7#

Sea Temperature [C]#

CIOFS#

../../../../_images/ctd_transects_cmi_kbnerr_Cruise_13-Line_7_temp.png

NWGOA#

../../../../_images/ctd_transects_cmi_kbnerr_Cruise_13-Line_7_temp1.png

Salinity#

CIOFS#

../../../../_images/ctd_transects_cmi_kbnerr_Cruise_13-Line_7_salt.png

NWGOA#

../../../../_images/ctd_transects_cmi_kbnerr_Cruise_13-Line_7_salt1.png

Cruise_14-Line_1#

Sea Temperature [C]#

CIOFS#

../../../../_images/ctd_transects_cmi_kbnerr_Cruise_14-Line_1_temp.png

NWGOA#

../../../../_images/ctd_transects_cmi_kbnerr_Cruise_14-Line_1_temp1.png

Salinity#

CIOFS#

../../../../_images/ctd_transects_cmi_kbnerr_Cruise_14-Line_1_salt.png

NWGOA#

../../../../_images/ctd_transects_cmi_kbnerr_Cruise_14-Line_1_salt1.png

Cruise_14-Line_2#

Sea Temperature [C]#

CIOFS#

../../../../_images/ctd_transects_cmi_kbnerr_Cruise_14-Line_2_temp.png

NWGOA#

../../../../_images/ctd_transects_cmi_kbnerr_Cruise_14-Line_2_temp1.png

Salinity#

CIOFS#

../../../../_images/ctd_transects_cmi_kbnerr_Cruise_14-Line_2_salt.png

NWGOA#

../../../../_images/ctd_transects_cmi_kbnerr_Cruise_14-Line_2_salt1.png

Cruise_14-Line_3#

Sea Temperature [C]#

CIOFS#

../../../../_images/ctd_transects_cmi_kbnerr_Cruise_14-Line_3_temp.png

NWGOA#

../../../../_images/ctd_transects_cmi_kbnerr_Cruise_14-Line_3_temp1.png

Salinity#

CIOFS#

../../../../_images/ctd_transects_cmi_kbnerr_Cruise_14-Line_3_salt.png

NWGOA#

../../../../_images/ctd_transects_cmi_kbnerr_Cruise_14-Line_3_salt1.png

Cruise_14-Line_4#

Sea Temperature [C]#

CIOFS#

../../../../_images/ctd_transects_cmi_kbnerr_Cruise_14-Line_4_temp.png

NWGOA#

../../../../_images/ctd_transects_cmi_kbnerr_Cruise_14-Line_4_temp1.png

Salinity#

CIOFS#

../../../../_images/ctd_transects_cmi_kbnerr_Cruise_14-Line_4_salt.png

NWGOA#

../../../../_images/ctd_transects_cmi_kbnerr_Cruise_14-Line_4_salt1.png

Cruise_14-Line_6#

Sea Temperature [C]#

CIOFS#

../../../../_images/ctd_transects_cmi_kbnerr_Cruise_14-Line_6_temp.png

NWGOA#

../../../../_images/ctd_transects_cmi_kbnerr_Cruise_14-Line_6_temp1.png

Salinity#

CIOFS#

../../../../_images/ctd_transects_cmi_kbnerr_Cruise_14-Line_6_salt.png

NWGOA#

../../../../_images/ctd_transects_cmi_kbnerr_Cruise_14-Line_6_salt1.png

Cruise_14-Line_7#

Sea Temperature [C]#

CIOFS#

../../../../_images/ctd_transects_cmi_kbnerr_Cruise_14-Line_7_temp.png

NWGOA#

../../../../_images/ctd_transects_cmi_kbnerr_Cruise_14-Line_7_temp1.png

Salinity#

CIOFS#

../../../../_images/ctd_transects_cmi_kbnerr_Cruise_14-Line_7_salt.png

NWGOA#

../../../../_images/ctd_transects_cmi_kbnerr_Cruise_14-Line_7_salt1.png

Cruise_15-Line_1#

Sea Temperature [C]#

CIOFS#

../../../../_images/ctd_transects_cmi_kbnerr_Cruise_15-Line_1_temp.png

NWGOA#

../../../../_images/ctd_transects_cmi_kbnerr_Cruise_15-Line_1_temp1.png

Salinity#

CIOFS#

../../../../_images/ctd_transects_cmi_kbnerr_Cruise_15-Line_1_salt.png

NWGOA#

../../../../_images/ctd_transects_cmi_kbnerr_Cruise_15-Line_1_salt1.png

Cruise_15-Line_3#

Sea Temperature [C]#

CIOFS#

../../../../_images/ctd_transects_cmi_kbnerr_Cruise_15-Line_3_temp.png

NWGOA#

../../../../_images/ctd_transects_cmi_kbnerr_Cruise_15-Line_3_temp1.png

Salinity#

CIOFS#

../../../../_images/ctd_transects_cmi_kbnerr_Cruise_15-Line_3_salt.png

NWGOA#

../../../../_images/ctd_transects_cmi_kbnerr_Cruise_15-Line_3_salt1.png

Cruise_15-Line_4#

Sea Temperature [C]#

CIOFS#

../../../../_images/ctd_transects_cmi_kbnerr_Cruise_15-Line_4_temp.png

NWGOA#

../../../../_images/ctd_transects_cmi_kbnerr_Cruise_15-Line_4_temp1.png

Salinity#

CIOFS#

../../../../_images/ctd_transects_cmi_kbnerr_Cruise_15-Line_4_salt.png

NWGOA#

../../../../_images/ctd_transects_cmi_kbnerr_Cruise_15-Line_4_salt1.png

Cruise_15-Line_6#

Sea Temperature [C]#

CIOFS#

../../../../_images/ctd_transects_cmi_kbnerr_Cruise_15-Line_6_temp.png

NWGOA#

../../../../_images/ctd_transects_cmi_kbnerr_Cruise_15-Line_6_temp1.png

Salinity#

CIOFS#

../../../../_images/ctd_transects_cmi_kbnerr_Cruise_15-Line_6_salt.png

NWGOA#

../../../../_images/ctd_transects_cmi_kbnerr_Cruise_15-Line_6_salt1.png

Cruise_15-Line_7#

Sea Temperature [C]#

CIOFS#

../../../../_images/ctd_transects_cmi_kbnerr_Cruise_15-Line_7_temp.png

NWGOA#

../../../../_images/ctd_transects_cmi_kbnerr_Cruise_15-Line_7_temp1.png

Salinity#

CIOFS#

../../../../_images/ctd_transects_cmi_kbnerr_Cruise_15-Line_7_salt.png

NWGOA#

../../../../_images/ctd_transects_cmi_kbnerr_Cruise_15-Line_7_salt1.png

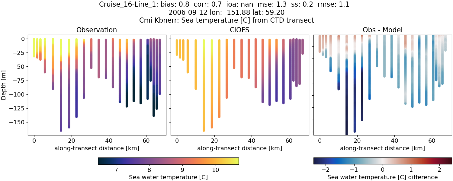
Cruise_16-Line_1#

Sea Temperature [C]#

CIOFS#

../../../../_images/ctd_transects_cmi_kbnerr_Cruise_16-Line_1_temp.png

NWGOA#

../../../../_images/ctd_transects_cmi_kbnerr_Cruise_16-Line_1_temp1.png

Salinity#

CIOFS#

../../../../_images/ctd_transects_cmi_kbnerr_Cruise_16-Line_1_salt.png

NWGOA#

../../../../_images/ctd_transects_cmi_kbnerr_Cruise_16-Line_1_salt1.png

Cruise_16-Line_2#

Sea Temperature [C]#

CIOFS#

../../../../_images/ctd_transects_cmi_kbnerr_Cruise_16-Line_2_temp.png

NWGOA#

../../../../_images/ctd_transects_cmi_kbnerr_Cruise_16-Line_2_temp1.png

Salinity#

CIOFS#

../../../../_images/ctd_transects_cmi_kbnerr_Cruise_16-Line_2_salt.png

NWGOA#

../../../../_images/ctd_transects_cmi_kbnerr_Cruise_16-Line_2_salt1.png

Cruise_16-Line_3#

Sea Temperature [C]#

CIOFS#

../../../../_images/ctd_transects_cmi_kbnerr_Cruise_16-Line_3_temp.png

NWGOA#

../../../../_images/ctd_transects_cmi_kbnerr_Cruise_16-Line_3_temp1.png

Salinity#

CIOFS#

../../../../_images/ctd_transects_cmi_kbnerr_Cruise_16-Line_3_salt.png

NWGOA#

../../../../_images/ctd_transects_cmi_kbnerr_Cruise_16-Line_3_salt1.png

Cruise_16-Line_4#

Sea Temperature [C]#

CIOFS#

../../../../_images/ctd_transects_cmi_kbnerr_Cruise_16-Line_4_temp.png

NWGOA#

../../../../_images/ctd_transects_cmi_kbnerr_Cruise_16-Line_4_temp1.png

Salinity#

CIOFS#

../../../../_images/ctd_transects_cmi_kbnerr_Cruise_16-Line_4_salt.png

NWGOA#

../../../../_images/ctd_transects_cmi_kbnerr_Cruise_16-Line_4_salt1.png

Cruise_16-Line_6#

Sea Temperature [C]#

CIOFS#

../../../../_images/ctd_transects_cmi_kbnerr_Cruise_16-Line_6_temp.png

NWGOA#

../../../../_images/ctd_transects_cmi_kbnerr_Cruise_16-Line_6_temp1.png

Salinity#

CIOFS#

../../../../_images/ctd_transects_cmi_kbnerr_Cruise_16-Line_6_salt.png

NWGOA#

../../../../_images/ctd_transects_cmi_kbnerr_Cruise_16-Line_6_salt1.png

Cruise_16-Line_7#

Sea Temperature [C]#

CIOFS#

../../../../_images/ctd_transects_cmi_kbnerr_Cruise_16-Line_7_temp.png

NWGOA#

../../../../_images/ctd_transects_cmi_kbnerr_Cruise_16-Line_7_temp1.png

Salinity#

CIOFS#

../../../../_images/ctd_transects_cmi_kbnerr_Cruise_16-Line_7_salt.png

NWGOA#

../../../../_images/ctd_transects_cmi_kbnerr_Cruise_16-Line_7_salt1.png

Kbay_timeseries#

Sea Temperature [C]#

CIOFS#

../../../../_images/ctd_transects_cmi_kbnerr_Kbay_timeseries_temp.png

NWGOA#

../../../../_images/ctd_transects_cmi_kbnerr_Kbay_timeseries_temp1.png

Salinity#

CIOFS#

../../../../_images/ctd_transects_cmi_kbnerr_Kbay_timeseries_salt.png

NWGOA#

../../../../_images/ctd_transects_cmi_kbnerr_Kbay_timeseries_salt1.png

sue_shelikof#

Sea Temperature [C]#

CIOFS#

../../../../_images/ctd_transects_cmi_kbnerr_sue_shelikof_temp.png

NWGOA#

../../../../_images/ctd_transects_cmi_kbnerr_sue_shelikof_temp1.png

Salinity#

CIOFS#

../../../../_images/ctd_transects_cmi_kbnerr_sue_shelikof_salt.png

NWGOA#

../../../../_images/ctd_transects_cmi_kbnerr_sue_shelikof_salt1.png